WGI型-鼓形齒式聯軸器

關鍵詞:WGI型,鼓形齒式聯軸器
生產商:泊頭市美晨機械有限公司地 址:河北省泊頭市工業區內6號車間
電 話:0317-8310667
傳 真:0317-8194995
郵 箱:btmcjx@163.com
WGI型-鼓形齒式聯軸器詳細介紹 DETAILS
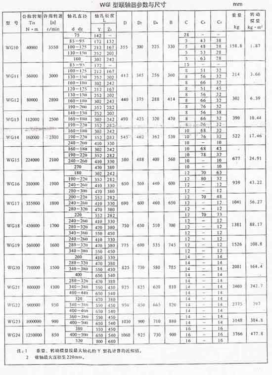
WG I型-鼓形齒式聯軸器(JB/ZQ4186-97)
●所謂鼓形齒即為將外齒制成球面,球面中心在齒輪軸線上,齒側間隙較一般齒輪大,鼓形齒聯軸器可允許較大的角位移(相對于直齒聯軸器),可改善齒的接觸條件,提高傳遞轉矩的能力,延長使用壽命。有角位移時沿齒寬的接觸狀態,齒式聯軸器是由齒數相同的內齒圈和帶外齒的凸緣半聯軸器等零件組成。外齒分為直齒和鼓形齒兩種齒形,齒式聯軸器在工作時,兩軸產生相對角位移,內外齒的齒面周期性作軸向相對滑動,必然形成齒面磨損和功率消耗,因此,齒式聯軸器需在有良好和密封的狀態下工作。齒式聯軸器徑向尺寸小,承載能力大,常用于低速重載工況條件的軸系傳動,高精度并經動平衡的齒式聯軸器可用于高速傳動,如燃汽輪機的軸系傳動。由于鼓形齒式聯軸器角向補償大于直齒式聯軸器,國內外均廣泛采用鼓形齒式聯軸器,直齒式聯軸器屬于被淘汰的產品,選用者應盡量不選用。
WG I型鼓形齒式聯軸器基本參數和主要尺寸
上一個產品:WGP型-帶制動盤鼓形齒式聯軸器
下一個產品:鼓形齒式聯軸器
聯系方式
地址:泊頭市工業區內6號車間 電話:0317-8310667 傳真:0317-8194995 郵箱:btmcjx@163.com
簡介
泊頭市美晨機械有限公司主要產品有橡膠輪胎式聯軸器,滾子鏈聯軸器,安全聯軸器,膜片聯軸器,鼓形齒式聯軸器,星形彈性聯軸器,彈性套柱銷聯軸器,滑塊聯軸器,梅花形彈性聯軸器,滾子鏈聯軸器,彈性柱銷聯軸器,彈性柱銷齒式聯軸器等。為滿足客戶需要,我們也承接其它聯軸器的測繪、制造,在這方面我們積累了豐富的經驗。